咖啡豆的脂肪組分通常存在于咖啡豆的胚乳中,同時也與包裹在咖啡豆外殼中的果肉密切相關。咖啡豆脂肪的含量大多數情況下集中在咖啡豆的內部,零星分布在豆皮中。咖啡豆的脂肪含量對咖啡的風味有很大的影響,同時也是衡量咖啡豆質量的重要標準之一。我們可通過格丹納全自動索氏提取儀FT-660進行實驗,測定咖啡豆的脂肪含量。
實驗方法
1.樣品
咖啡豆
2.儀器
全自動索氏提取儀FT-660(格丹納)

3.實驗步驟
(1)精確稱取2g樣品放入濾紙筒,再將濾筒放入提筒一塊送入FT-660全自動索氏提取儀內的萃取室中,擰緊蓋子以保證其密閉性。
(2)在干燥至恒重的收集瓶中加入 80mL 石油醚后,將其放入儀器中,向下壓動壓桿,使收集瓶歸位。

(3)點擊控制器右上角的“萃取程序”按鍵設置程序:
萃取模式為索氏熱萃取,使用溶劑為石油醚,萃取室溫度為80℃,萃取、淋洗和干燥階段的收集瓶溫度都設為80℃,萃取階段時間6小時,循環次數為48次,淋洗階段時間5分鐘,干燥階段時間5分鐘。
(4)啟動萃取程序,待程序經過“萃取”、“淋洗”和“干燥”步驟即可完成提取。
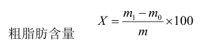
計算公式:
式中:
X——樣品中粗脂肪的含量(g/100g)
m1——溶劑杯和粗脂肪的質量(g)
m0——干燥溶劑杯質量(g)
m——樣品質量
格丹納提供高效便捷的全自動脂肪測定儀方案,幫助咖啡豆產品及咖啡飲品中粗脂肪檢測。FT-660全自動索氏提取儀(脂肪測定儀)是根據索氏抽提原理,對脂肪等有機物進行萃取分離的儀器 。儀器具有索氏熱萃取法、經典索氏萃取法、熱萃取法、連續萃取法等萃取方式。廣泛應用于農業、食品、環境及工業等不同的領域的脂肪萃取,也可應用于藥品、土壤、污泥、清潔劑等物質中的可溶性有機化合物的萃取。